万一保险网,保险资料下载

您现在的位置是:万一网 > 经营管理 > 保险数据

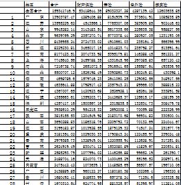
2014年前9月各省市保险保费收入排名表.xls

  • 更新时间:2014-10-27
  • 资料大小:13.5KB
  • 资料性质:授权资料
  • 上传者:wanyiwang
详情请看会员类别或者付款方式
    
内容页右侧
资料部分图片和文字内容:

注:1、本表数据是保险业执行《关于印发<保险合同相关会计处理规定〉的通知》(财会[2009]15号)后,各保险公司按照相关口径要求报送的数据。
    2、集团、总公司本级是指集团、总公司开展的业务,不计入任何地区。
    3、上述数据来源于各公司报送的保险数据,未经审计。
      

您为本资料打几分?评价可得2积分。积分有什么用?请看这里
用 户 名:
 已登录
评论内容:
完善左边的评价,这会帮到更多的用户,我为人人,人人为我!

已输入0个字,评价五个字以上方可成功提交。50字以上优质评价可额外得10分
以下是对"2014年前9月各省市保险保费收入排名表.xls"的评论
关于我们 | 广告合作 | 会员类别 | 文件上传 | 法律声明 | 常见问题 | 联系我们 | 付款方式嘉兴开锁公司

全国统一客服热线 :400-000-1696 客服时间:8:30-22:30  杭州澄微网络科技有限公司版权所有   法律顾问:浙江君度律师事务所 刘玉军律师 
万一网-保险资料下载门户网站 浙ICP备11003596号-4 浙公网安备 33040202000163号